衣原体(Chlamydia trachomatis)感染是全球最常见的性传播疾病之一,若未及时治疗,可引发盆腔炎、输卵管阻塞、异位妊娠乃至不孕等严重后果。更令人担忧的是,其临床表现常呈隐匿性,且目前尚无有效疫苗,使得传统抗生素疗法面临耐药与复发的双重挑战。近年来,研究者逐渐将目光转向免疫调节策略,尤其是利用抗炎细胞因子白细胞介素-10(IL-10)调控宿主炎症反应。然而,IL-10在体内半衰期极短,限制了其临床转化潜力。
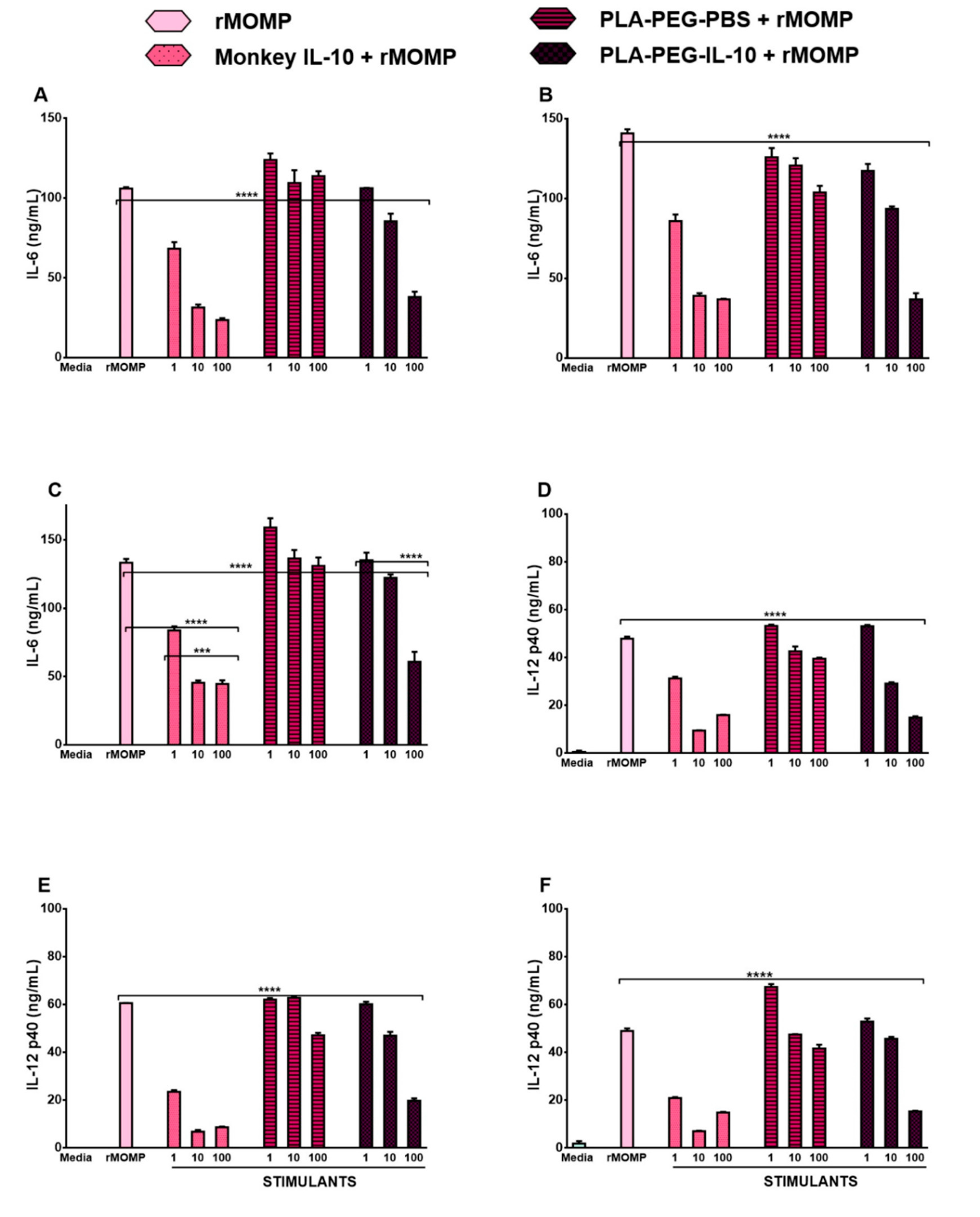
在此背景下,一项发表于《Nanomaterials》(2019, 9, 1074)的重要研究为该领域带来突破性进展:研究人员成功将IL-10封装于可生物降解的PLA-PEG(聚乳酸-聚乙二醇)纳米颗粒中,不仅显著延长其释放周期至60天,还完整保留了其生物活性,有效抑制衣原体主要外膜蛋白(rMOMP)诱导的IL-6与IL-12p40等促炎因子,并差异性调控SOCS1/SOCS3信号通路。这一成果不仅验证了纳米递送系统在抗炎治疗中的巨大潜力,也为衣原体相关炎症性疾病的精准干预提供了全新研究方向。

中新康明:赋能创新疗法,提供一站式PLA-PEG CDMO解决方案
作为国内领先的高端医药中间体及纳米药物CDMO服务商,中新康明始终致力于推动前沿生物材料在炎症、感染及自身免疫疾病治疗中的应用。针对上述研究中关键的PLA-PEG载体系统,我们现已全面开放高纯度、GMP级PLA-PEG原料供应,并配套提供从IL-10纳米制剂开发、理化表征到体外功能验证的一站式CDMO服务。
我们的PLA-PEG产品线涵盖多种分子量比(如PLA:PEG = 85:15、75:25等),具备优异的生物相容性与可控降解性能,已广泛应用于蛋白、多肽及核酸类药物的长效递送系统构建。针对客户定制的PLA-PEG-IL-10纳米制剂,中新康明可提供以下核心检测与分析服务:
粒径与Zeta电位分析:采用Malvern Zetasizer Nano-ZS,精确测定纳米粒径(如~238 nm)及表面电荷(如−14.2 mV),确保批次一致性;
包封率与载药量测定:通过BCA蛋白定量结合SDS破乳法,实现>75%包封效率的精准评估;
体外释放动力学研究:模拟生理条件(PBS, 37°C),长达60天的累积释放曲线监测;
热稳定性分析:差示扫描量热法(DSC)验证IL-10在纳米载体中的热变性温度(可达89°C);
功能活性验证:联合巨噬细胞模型(如J774或THP-1),通过ELISA检测IL-6/IL-12p40抑制效果,并支持qRT-PCR分析SOCS1/SOCS3等关键信号分子表达。

技术优势:源于创新,成于细节
中新康明在纳米药物CDMO领域拥有三大核心技术优势:
成熟的双乳化-溶剂挥发工艺平台:可高效包载亲水性大分子(如IL-10、抗体、酶等),避免活性损失;
全链条质量控制体系:从原料合成、纳米制备到冻干稳定化,全程符合ICH Q7与GMP规范;
跨学科技术整合能力:融合高分子化学、免疫学与药代动力学,为客户定制“从分子到功能”的整体解决方案。
成功案例:助力科研成果转化
近期,中新康明与某国家级重点实验室合作,为其开发用于衣原体疫苗佐剂的PLA-PEG-MOMP纳米颗粒。我们不仅完成了纳米粒的GMP级放大生产(>10 g/批次),还协助客户完成体内外免疫原性评价,显著提升Th1型免疫应答。该成果已进入临床前申报阶段,充分体现了中新康明在抗感染纳米制剂CDMO服务中的实战能力。
此外,我们亦为多家Biotech公司提供IL-10、TGF-β等抗炎细胞因子的PLA-PEG纳米化服务,帮助其将原本需每日注射的蛋白药物转化为每周一次甚至每月一次的长效制剂,极大提升患者依从性与治疗窗口。

综合服务:不止于生产,更是战略伙伴
中新康明提供的不仅是CDMO服务,更是贯穿药物研发全周期的技术赋能平台。我们支持从早期概念验证(PoC)、处方筛选、CMC开发到IND-enabling研究的全流程服务,尤其擅长处理高难度生物大分子递送项目。
面对衣原体等慢性感染引发的复杂炎症微环境,传统“杀菌”策略已显局限。以IL-10为代表的免疫调节疗法,结合PLA-PEG等智能纳米载体,正成为下一代抗炎治疗的核心方向。中新康明愿携手全球科研机构与制药企业,共同推动这一前沿领域从实验室走向临床,为数亿患者带来更安全、长效、精准的治疗选择。
返回