一、肿瘤治疗迈向“精准递送”时代:纳米载体成为重要突破口
随着肿瘤生物学和肿瘤微环境研究的不断深入,传统小分子化疗药物在临床应用中暴露出的非特异性分布、系统毒性大和治疗窗口窄等问题日益凸显。如何在保证疗效的同时,降低对正常组织的损伤,成为当前肿瘤治疗领域亟待解决的关键课题。
近年来,刺激响应型纳米药物递送系统被认为是实现肿瘤精准治疗的重要技术方向。其中,利用肿瘤组织相对正常组织酸性更强(pH4.5–6.5)这一特征,构建pH响应性纳米载体,已成为当前研究热点。通过在载体结构中引入酸敏感键,使其在血液和正常组织环境中保持稳定,而在肿瘤微环境中快速降解并释放药物,可显著提升药物的靶向性与治疗指数。
在此背景下,基于聚氨基酸的pH响应性纳米载体体系,凭借其良好的生物相容性、可降解性及结构可设计性,展现出良好的临床转化潜力。

二、中新康明研究进展:mPEG-PEI-PBLL构建高效pH响应型纳米载体
中新康明研究成果不仅验证了pH响应性聚氨基酸载体在肿瘤精准治疗中的巨大价值,也为创新药企提供了极具前景的技术路径。然而,从实验室概念到临床前乃至临床阶段的转化,离不开高质量、高一致性的关键原料供应与专业、灵活的合同研发生产组织(CDMO)服务支持。
三、中新康明CDMO服务:从原料到纳米制剂的一体化支持
围绕pH响应性聚氨基酸纳米载体的研发需求,中新康明依托成熟的材料合成与纳米制剂开发平台,为科研机构与药物研发企业提供非GMP阶段的关键原料供应与CDMO技术支持。
1.关键原料的稳定供应能力
中新康明可提供多种用于纳米载体构建的核心原料,包括但不限于:
mPEG-PEI系列材料(分子量、支化度可定制)
Lys(Z)-NCA等氨基酸NCA单体,满足聚氨基酸可控合成需求
上述原料均适用于早期研发与工艺验证阶段,支持客户开展载体结构设计、参数筛选与机制研究。
2.mPEG-PEI-PBLL纳米颗粒的定制化制备
依托聚合物合成与纳米制剂工艺经验,中新康明可协助客户完成:
Lys(Z)-NCA的开环聚合反应工艺开发
mPEG-PEI-PBLL聚合物的结构表征与批次放大
基于自组装或溶剂置换法的纳米颗粒制备
DOX等疏水/两亲性抗肿瘤药物的负载与工艺优化

3.系统化的数据检测与表征服务
为支撑纳米药物的系统评价,中新康明提供覆盖研发阶段的多维度数据检测服务,包括:
粒径、PDI、Zeta电位(DLS)
载药量、包封率、释放行为(UV/荧光)
pH响应稳定性与降解行为评估
体外释药与稳定性研究
通过系统化数据支持,帮助客户加速从“材料可行性”到“制剂可重复性”的转化过程。
参考文献:“基于聚氨基酸肿瘤微环境响应型药物载体的研究进展”
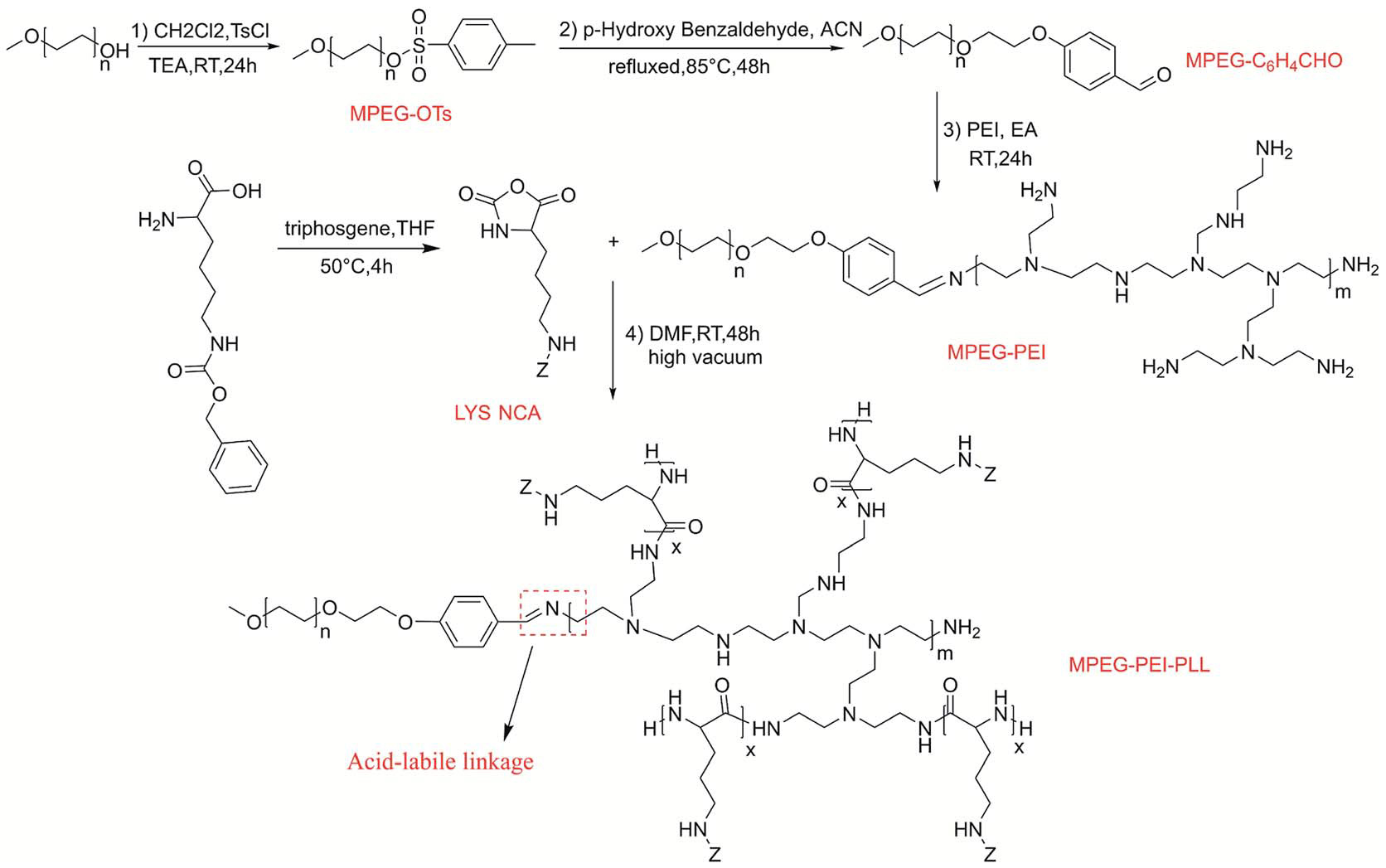
文献节选:采用Nε-苄氧羰基-L-赖氨酸环内酸酐(Lys(Z)-NCA)与mPEG-聚乙烯亚胺(PEI)开环聚合成功合成了具有两亲性结构的pH响应性纳米材料(mPEG-PEI-PBLL)。mPEG-PEI-PBLL结构中引入的超支化共聚物PEI能够有效地封装治疗药物DOX,载药效率约为25.8%。引入聚合物的席夫碱使材料具有pH响应性,在pH=5.0时降解,在pH=7.4时稳定。细胞摄取研究表明,包裹在mPEG-PEI-PBLL中DOX的吸收速率远低于游离DOX,从而降低了药物的全身毒性。药物的生物分布表明,mPEG-PEI-PBLL具有良好的生物相容性,对正常细胞基本无损伤。此外,体内治疗和药代动力学研究结果显示,mPEG-PEI-PBLL能够在肿瘤组织中积累,抑制肿瘤的生长,同时提高小鼠的存活率。
以上研究表明,pH响应性聚氨基酸纳米药物载体通过引入酸敏感键,实现了在TME中的精准药物控释。该载体材料能够在肿瘤组织的酸性环境下快速响应,释放负载的抗肿瘤药物,从而显著提高药物的靶向性和治疗效果。同时,聚氨基酸载体材料展现出优异的生物相容性和可降解性,确保了其安全性和应用的可行性。此外,该载体系统还具备良好的载药能力和稳定性,为肿瘤的精准治疗提供了新的策略。pH响应性聚氨基酸纳米药物载体在抗肿瘤领域展现出广阔的应用前景,具有重要的临床转化潜力。

四、项目案例:支持酸敏感纳米制剂的研发验证
在多个肿瘤纳米药物研发项目中,中新康明已协助客户完成:
氨基酸NCA单体的定制合成与质量控制
聚氨基酸纳米载体的工艺放大与批间一致性优化
多种化疗药物在纳米载体中的包载与释放行为评估
相关项目覆盖肿瘤化疗、联合递送及刺激响应型载体等多个研究方向,为客户后续申报和转化奠定了可靠的数据基础。
五、以CDMO能力赋能纳米药物转化
作为专注于材料与制剂研发阶段的CDMO服务商,中新康明持续围绕纳米药物、聚合物递送体系及功能材料构建综合技术平台。从原料合成、工艺开发到数据检测,中新康明致力于为客户提供可衔接、可放大、可验证的一体化支持。
在pH响应性聚氨基酸纳米载体这一前沿领域,中新康明将持续关注科研进展,并通过完善的CDMO服务体系,助力创新递送技术向临床应用稳步推进。
返回