随着精准医学和纳米技术的快速发展,如何在提高抗肿瘤药物疗效的同时降低系统毒性,已成为肿瘤药物研发领域关注的核心问题。近年来,刺激响应型聚合物胶束作为一种可对内源或外源刺激作出特异响应的智能递送系统,在靶向药物递送和肿瘤治疗中展现出广阔前景。
中新康明持续关注并布局该类前沿纳米递送技术,围绕刺激响应型聚合物胶束的原料供应、体系构建及数据验证,提供系统化的非GMP级CDMO支持服务。

一、双刺激响应型聚合物胶束:肿瘤递送体系的新方向
传统聚合物胶束在血液循环稳定性和肿瘤部位释放可控性方面仍存在一定局限。刺激响应型胶束通过引入对肿瘤微环境特征或外部刺激敏感的结构单元,可在特定条件下发生解聚或结构转变,从而实现药物的精准释放。中新康明研究设计了一种新型两亲性嵌段共聚物mPEG-SS-pONBMA,在亲水性聚乙二醇单甲醚(mPEG)与疏水性邻硝基苄基甲基丙烯酸酯(ONBMA)之间引入二硫键连接单元。研究中合成了三种不同疏水链段长度的mPEG-SS-pONBMA共聚物,并成功自组装形成纳米胶束。实验结果显示:
随着ONBMA链段长度增加,胶束粒径增大、临界胶束浓度降低,表明体系稳定性显著提升;
紫外光照射可诱导ONB基团断裂,使胶束疏水核心向亲水结构转变,加速药物释放;
在UV与GSH协同刺激下,胶束形态与分子量发生明显变化,验证了其双刺激响应行为;
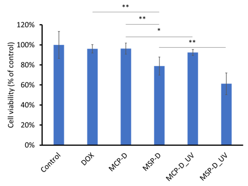
与仅具光响应特性的对照体系相比,含二硫键的载阿霉素胶束在光照条件下表现出更显著的肿瘤细胞杀伤效果;
在HT1080细胞模型中,RIP-1和MLKL蛋白的高表达提示,该体系主要通过坏死性凋亡通路诱导肿瘤细胞死亡。
上述结果表明,双刺激响应型聚合物胶束在递送效率、释放可控性及抗肿瘤活性方面均展现出明显优势,具备良好的研究与应用潜力。

二、中新康明:刺激响应型聚合物胶束的CDMO支持平台
围绕刺激响应型聚合物胶束的设计与开发需求,中新康明构建了面向科研与早期转化阶段的非GMP级CDMO服务体系,可为相关研究提供全流程技术支持。三、中新康明在刺激响应型聚合物胶束方向的非GMP级原料与CDMO服务能力
1.关键非GMP级原料供应
中新康明可稳定供应并支持定制合成以下核心原料:
mPEG-COOH:用于构建亲水外壳与后续功能化修饰;
mPEG-SS-Br:含二硫键与ATRP引发基团的功能化大分子引发剂;
可根据需求提供不同分子量、不同官能度PEG衍生物,满足光/还原/多刺激体系设计。
2.mPEG-SS-pONBMA及其负载体系的定制合成
中新康明具备成熟的ATRP聚合与两亲性嵌段共聚物构建经验,可支持:
mPEG-SS-pONBMA不同疏水链段长度的定制化合成;
阿霉素(DOX)等疏水抗肿瘤药物的胶束负载;
胶束粒径、CMC、载药量、包封率的系统优化。
3.完整的数据检测与表征服务
依托完善的分析平台,中新康明可提供:
结构确认:¹H-NMR、FT-IR、SEC/GPC;
胶束性能:DLS粒径与分布、TEM形貌、CMC测定;
功能评估:刺激响应行为、体外释药曲线;
细胞层面验证:细胞毒性、摄取行为及作用机制分析(支持合作研究)。

三、相关案例:双刺激响应型胶束在抗肿瘤递送中的应用探索
在实际服务项目中,中新康明已协助多家科研团队与创新药企完成光/还原响应型聚合物胶束的构建与验证。其中包括:
基于mPEG-SS结构的还原响应型胶束递送体系;
含光裂解基团的聚合物前药设计;
多刺激协同触发的纳米递送系统,用于提升DOX等经典化疗药物的肿瘤选择性。
通过系统的原料设计、制剂优化与数据检测支持,中新康明帮助客户显著缩短了从概念验证到机制研究的开发周期。
参考文献“Light-and Redox-Responsive Block Copolymers of mPEG-SS-ONBMA as a Smart Drug Delivery Carrier forCancer Therapy”
文献节选:双重刺激响应的mPEG-SS-pONBMA胶束比单刺激响应的 mPEG-CC-pONBMA胶束更适合作为药物递送载体。当HT1080细胞接受载有阿霉素的微球处理后,RIP-1和MLKL的高表达水平表明细胞死亡的机制主要是通过阿霉素诱导的坏死性凋亡途径实现的。

四、中新康明:聚合物纳米递送体系的一体化CDMO合作伙伴
面向刺激响应型聚合物胶束等前沿纳米递送技术,中新康明构建了覆盖原料—合成—制剂—检测—放大支持的综合CDMO服务体系,专注于非GMP级阶段的技术验证与工艺打磨。
未来,中新康明将持续关注刺激响应型纳米药物、智能递送系统及肿瘤精准治疗方向的发展,与合作伙伴共同探索更安全、更高效、更可控的下一代抗肿瘤递送解决方案。
返回