肝癌是全球范围内致死率最高的恶性肿瘤之一,传统化疗药物如紫杉醇(Paclitaxel,PTX)虽具有显著抗肿瘤活性,但其水溶性差、生物利用度低、毒副作用大等问题严重限制了临床应用。近年来,基于肿瘤微环境特异性(如酸性pH值)设计的智能响应型纳米载药系统成为肝癌靶向治疗的重要研究方向。
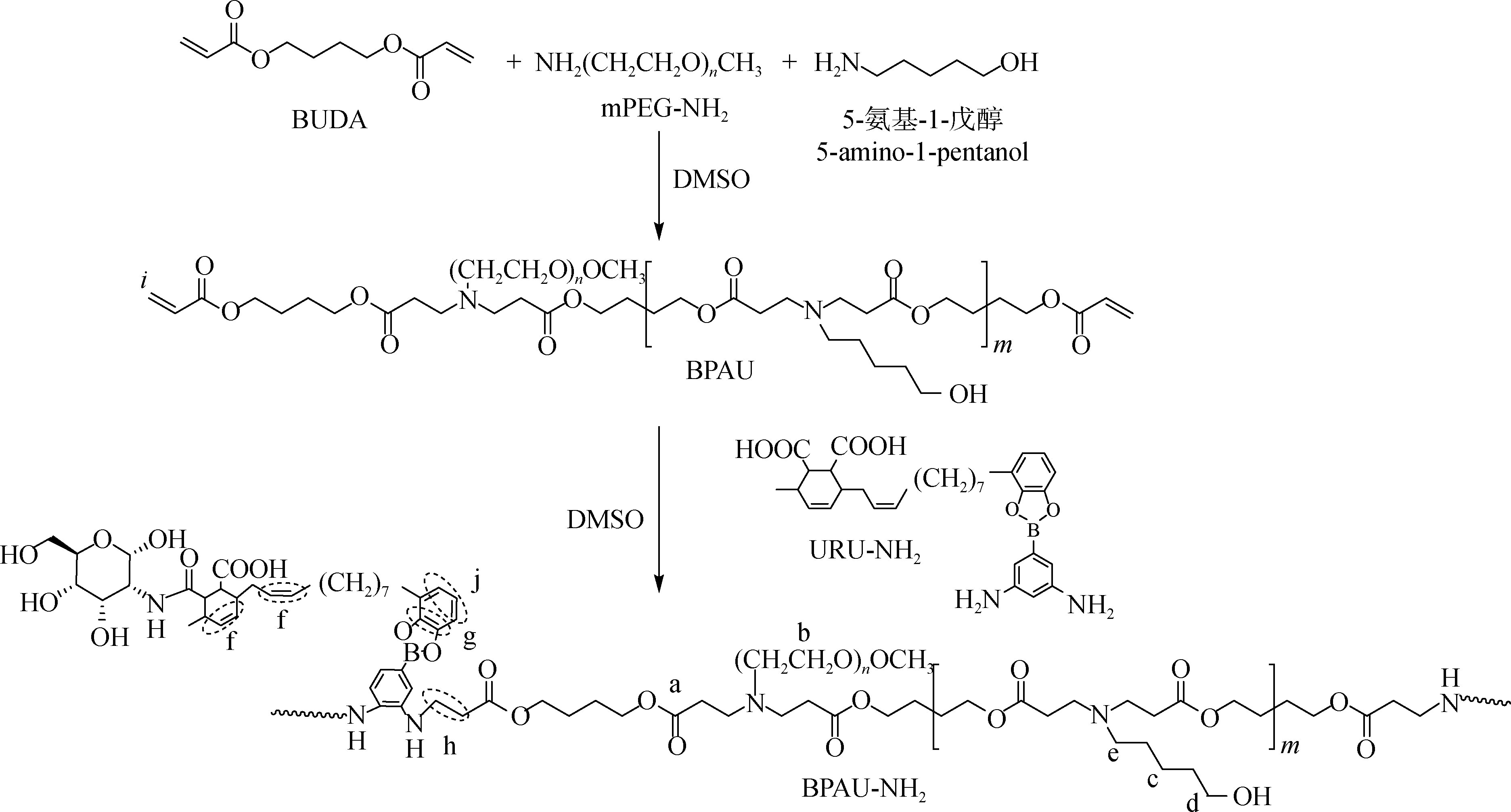
中新康明成功构建了一种新型漆酚基pH响应型纳米胶束——BPAU-NH2-Gal,并实现了对紫杉醇的高效负载(PTX@BPAU-NH2-Gal)。该胶束以三烯漆酚苯硼酸胺衍生物(URU-NH2)为疏水核心、半乳糖(Gal)为肝靶向识别单元,在pH4.5条件下显著加速药物释放,同时对人正常肝细胞LO2表现出极低毒性(200mg/L浓度下细胞存活率>93%),并在人肝癌细胞HepG2中展现出优异的摄取能力。这一成果为肝癌精准治疗提供了极具前景的递送平台。

作为国内领先的医药中间体及高端制剂CDMO服务商,中新康明紧密跟踪前沿科研进展,现已全面开放针对此类pH响应型纳米胶束系统的非GMP级原料供应与定制开发服务,助力科研机构与创新药企加速从“实验室到临床”的转化进程。
一、聚焦肝癌治疗新方向:智能响应型纳米载体引领精准医疗
肝癌组织因Warburg效应呈现独特酸性微环境(pH≈4.5–6.8),而正常组织pH维持在7.4左右。利用这一差异,pH响应型纳米载体可在肿瘤部位特异性释放药物,显著提升疗效并降低全身毒性。BPAU-NH2-Gal胶束正是基于此原理设计:其结构中的叔胺基团和硼酸酯键在酸性条件下质子化或水解,引发胶束膨胀解体,实现“按需释药”。结合半乳糖对肝细胞表面去唾液酸糖蛋白受体(ASGPR)的高亲和力,该系统兼具被动靶向(EPR效应)与主动靶向双重优势,代表了下一代肝癌纳米药物的发展趋势。
二、中新康明提供全链条CDMO服务:从关键原料到成品表征
为支持此类创新制剂的研发,中新康明现已建立完整的pH响应型胶束CDMO服务平台,可提供以下核心服务:
关键非GMP级原料供应:
氨基官能化甲氧基聚乙二醇(mPEG-NH2,Mn=5000)
pH敏感型聚合物中间体BUDA-P(mPEG-NH2)(即BPAU)
成品载药胶束PTX@BPAU-NH2-Gal(非GMP级)
定制合成服务:
支持客户指定药物(如紫杉醇、多西他赛、喜树碱等)负载于BPAU-NH2-Gal或其他自定义pH响应型胶束体系,严格遵循文献工艺路线(如透析法、自组装法),确保批次一致性。

全面理化与生物学表征:
结构确认:¹H/¹³CNMR、GPC(测定Mw≈15,550,PDI=1.49)
胶束性能:临界胶束浓度(CMC≈90.29mg/L)、Zeta电位(≈+29.7mV)
形貌与粒径:TEM(不规则椭球形)、DLS(平均粒径≈195nm)
载药效率:HPLC测定包封率(>92%)、载药量(>31%)
体外释放:动态透析法评估pH4.5/6.8/7.4下的释放曲线
细胞实验支持:MTT法测LO2细胞毒性、共聚焦显微镜观察HepG2摄取(可配合香豆素标记)
三、技术优势:专业团队+先进平台+快速交付
中新康明依托江苏省重点实验室合作资源,拥有:
经验丰富的高分子与制剂研发团队,熟悉各类刺激响应型聚合物(pH、还原、酶敏感等)的设计与合成;
完备的分析检测平台,涵盖NMR、GPC、HPLC、DLS、Zeta电位仪、TEM样品制备等;

灵活的非GMP生产体系,可快速提供毫克至百克级研究用样品,满足早期药效、毒理及IND申报前研究需求;
知识产权友好合作模式,支持保密协议(CDA)与定制化开发。
文献引用:“漆酚基BPAU-NH2-Gal紫杉醇载药胶束的pH响应性及其体外性能”
文献节选:以5-氨基-1-戊醇(P)、1,4-丁二醇二丙烯酸酯(BUDA)和胺基官能化甲氧基聚乙二醇(mPEG-NH2)为原料,通过自组装方法合成了传统pH敏感型胶束BUDA-P(mPEG-NH2)(BPAU);再以三烯漆酚苯硼酸胺衍生物(URU-NH2)为疏水单元,半乳糖(Gal)为识别单元,合成了pH敏感型纳米胶束BPAU-NH2-Gal。以紫杉醇(PTX)为受试药物,采用透析法制备了纳米载药胶束(PTX@BPAU-NH2-Gal)。通过核磁共振(NMR)、凝胶色谱(GPC)、表面张力、Zeta电位分析对胶束的结构、重均相对分子质量(Mw)、临界胶束浓度(CMC)、Zeta电位进行了表征,采用透射电镜(TEM)表征载药胶束的形貌,动态光散射法(DLS)测定了其粒径。采用高效液相色谱(HPLC)法测定了胶束对PTX的包封率和载药量,动态膜透析法考察了载药胶束在体外不同pH值条件下的释放特性和HepG2细胞摄入性能。研究结果表明:漆酚BPAU-NH2-Gal胶束已经成功合成,胶束BPAU-NH2-Gal的MW值约为15550,分散指数(PDI)为1.49,CMC值约为90.29mg/L,Zeta电位值为29.7mV。载药胶束PTX@BPAU-NH2-Gal外观呈不规则椭圆结构,平均粒径为195nm左右;对紫杉醇的包封率为92.51%,载药量为31.76%;在pH值4.5时,其药物释放量明显高于其在pH值为6.8、7.4时的药物释放量,具有明显的pH响应性;该载药胶束表现出对人体正常肝细胞LO2的低毒性,胶束质量浓度为200mg/L时,LO2细胞存活率仍大于93%;在pH值4.5条件下,人肝癌细胞HepG2对该载药胶束具有很强的摄入能力。
四、成功案例:助力高校团队完成肝靶向胶束项目
某“双一流”高校课题组在开展肝癌靶向递送研究时,需合成BPAU-NH2-Gal胶束并负载紫杉醇。受限于高分子合成经验与表征设备,项目进展缓慢。中新康明介入后,两周内完成BPAU中间体合成与纯化,一个月内交付符合文献数据的PTX@BPAU-NH2-Gal胶束(包封率92.1%,粒径198nm),并协助完成体外释放与细胞摄取实验,有力支撑其国家自然科学基金项目结题及SCI论文发表。

五、中新康明CDMO服务:您值得信赖的创新药合作伙伴
中新康明始终致力于为全球生物医药客户提供从分子设计、工艺开发、定制合成到全面表征的一站式CDMO解决方案。我们在纳米药物、PROTAC、ADC、多肽及复杂小分子等领域积累了丰富经验,尤其擅长处理高难度、高附加值的非标准结构化合物。
无论是基础科研所需的非GMP级关键中间体,还是迈向临床前研究的定制载药系统开发,中新康明都能以专业的技术、可靠的质量和高效的响应,成为您创新道路上的坚实后盾。
返回